Part01: Card information and Cellular communication (cell2cell network)
Part02: Assessment of PPI (protein-protein interaction network)
Part03: Regulatory network
Part04: Dissecting receptor expression patterns (PCR, Pathogen and cell receptor mediated network) Virus:Coxsackievirus A9
Family:Picornaviridae
Host:Homo sapiens (Human)
Target Gene:ITGB3,ITGAV,ITGB6
BSID: BS1728523868260
Classification: Fishes
CommonName: West African lungfish
LatinName: Protopterus annectens
BrainRegion: Brain
Timing: Adult
Diseases: Normal
Tech: SeekOne
CellNum: 9362
Title: BrainScope
Journal: BrainScope
PMID: BrainScope
Matrix Download : Click to download
Shinycell: View data

Virus target gene expression
Virus target gene expression
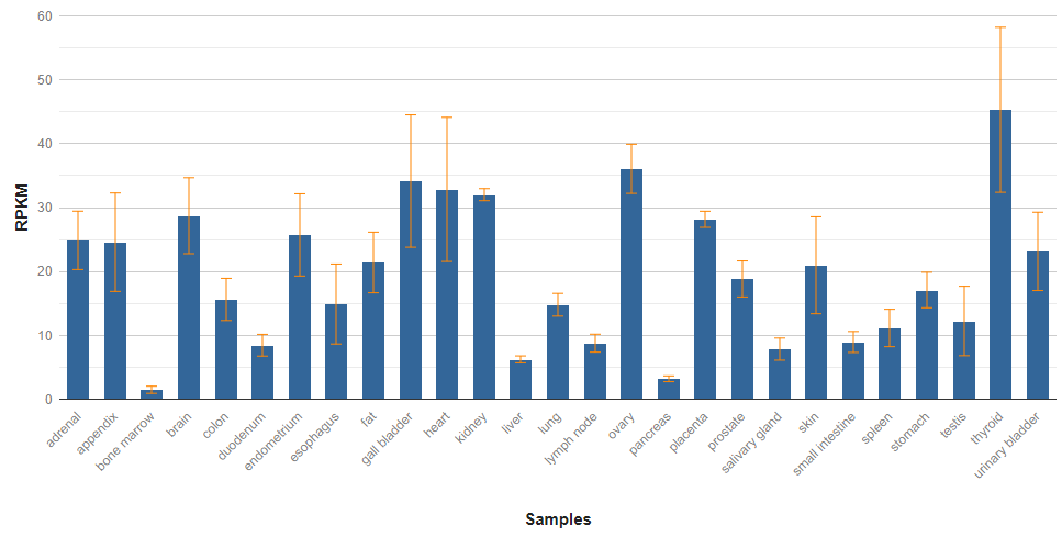
mRNA expression of ITGB3 in human tissues [NCBI]
Protein expression of ITGB3 in human tissues [Proteinatlas]
Virus target gene expression
mRNA expression of ITGAV in human tissues [NCBI]
Protein expression of ITGAV in human tissues [Proteinatlas]
Virus target gene expression
mRNA expression of ITGB6 in human tissues [NCBI]
Protein expression of ITGB6 in human tissues [Proteinatlas]
Part05: Dissecting gene expression patterns across species during evolution
Part06: Embryo atlas and gene expression dynamics at single-cell resolution
Part07: Embryo atlas and gene expression dynamics at spatial resolution
Part08: Rating of gene list by ToppGene and Poster enrichment BSID: {{dataInfo.BSID}}
Classification: {{dataInfo.Classification}}
CommonName: {{dataInfo.CommonName}}
LatinName: {{dataInfo.LatinName}}
BrainRegion:{{dataInfo.Region}}
Timing:{{dataInfo.Timing}}
Diseases: {{dataInfo.Diseases}}
Tech: {{dataInfo.Diseases}}
CellNum: {{dataInfo.Tech}}
Title: {{dataInfo.Title}}
Journal: {{dataInfo.Journal}}
PMID: {{dataInfo.PMID}}
Matrix Download : Click to download
Shinycell: View data
Part09: SpeciesDyn
Part10: PathologyDyn
Part11: EmbryogenesisDyn
Part12: AnatomyDyn
Part13: RegionDyn
Part14: SpaceDyn
Part15: ExternalLink
Part16: NaviA2Z
Part17: Download